![]() |
![]() |
| 평행선을 통한 간단한 풀이 |
![]() |
![]() |
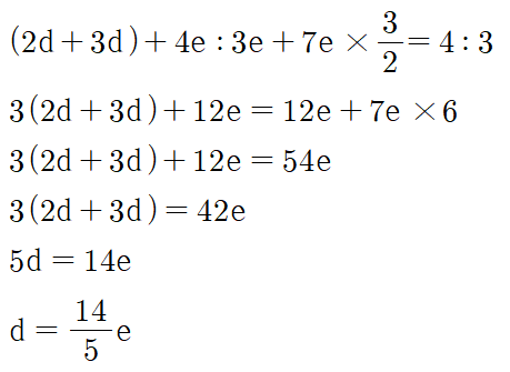
| 넓이를 통한 복잡한 풀이 |
![]() |
![]() |
![]() |
![]() |
![]() |
![]() |
| 4:5 임을 확인할 수 있음. | |
![]() |
320x100
'■ Mathematics > ㅡMath Q&A' 카테고리의 다른 글
| 알지오매스 x축 호도법 표기, 표현, 설정방법 (0) | 2025.05.07 |
|---|---|
| 중학교2학년수학문제_주사위_확률 (0) | 2023.11.27 |
| 중학교2학년수학_경우의수 (0) | 2023.11.25 |
| 중학교2학년수학_도형의닮음_넓이_고난도문제 (0) | 2023.11.25 |
| 지구 둘레와 10m 줄 (1) | 2023.05.01 |










